Mã thông báo CAKE của PancakeSwap đang ở một thời điểm quan trọng khi chiến đấu với mức kháng cự dài hạn trên mốc 4.50 USD.
PancakeSwap (CAKE) đã thu hút được sự chú ý của các nhà đầu tư tuần qua. Bất chấp thị trường chung giảm giá, CAKE đã vượt qua hầu hết các loại tiền điện tử trong 100 tài sản hàng đầu theo vốn hóa thị trường, đóng nến ngày và tuần trong màu sắc xanh hy vọng.
Niềm tin cộng đồng đang tăng cao đối với CAKE
Vào thời điểm viết bài, CAKE đã tăng hơn 8% trong khung thời gian hàng tuần khi giá của nó dao động ở mức 4.60 USD. CAKE đã cố gắng duy trì vị trí của mình khi là một trong 3 mã thông báo hàng đầu trên danh sách xu hướng của CoinMarketCap trong một vài ngày.
Sau khi phục hồi từ mức giá dưới 4.0 USD, đồng tiền này đã tăng hơn 12% trong 7 ngày qua và là một trong số ít các mã thông báo xuất hiện sắc xanh trên các biểu đồ một giờ, một ngày và một tuần.
Ngoài ra, thông tin chi tiết từ LunarCrush đã nhấn mạnh rằng CAKE xếp hạng chỉ sau XRP trong danh sách 10 đồng tiền hàng đầu theo AltRank hàng tuần. Các bảng xếp hạng này cung cấp thông tin chi tiết về các chỉ số cộng đồng của đồng coin và thường xếp hạng đồng tiền theo dự đoán tăng giá xung quanh giá của chúng.
Khối lượng giao dịch 24 giờ của CAKE, vào thời điểm viết bài, ghi nhận mức tăng mạnh hơn 52%, đạt hơn 55 triệu USD. Khối lượng giao dịch tương đối cao phản ánh sự hưng phấn của các nhà đầu tư cá nhân đối với CAKE, điều này có thể hỗ trợ đà tăng giá trong ngắn hạn.
PancakeSwap cũng đang có xu hướng trên CoinMarketCap với tư cách là một trong những dự án chuỗi BNB có xu hướng hàng đầu cùng với các mã thông báo như RichQUACK.
Xu hướng tăng sẽ tiếp tục?
Mức tăng 12% gần đây đã hỗ trợ sự phục hồi giá của CAKE từ đợt giảm giá trong tháng 6, khiến đồng tiền này mất gần 40% giá trị. Đáng chú ý, mốc 4.50 USD đã đóng vai trò là ngưỡng kháng cự quan trọng đối với CAKE trong 5 tháng qua.
Nếu CAKE có thể giữ giá trên mức 4.50 USD thì mức kháng cự quan trọng tiếp theo sẽ là ở rào cản tâm lý 5 USD. Nhìn vào hành động giá CAKE trên biểu đồ hàng ngày, cho thấy áp lực mua tăng bền vững. Điều này có thể hỗ trợ quỹ đạo tăng ngắn hạn của đồng coin.
Ngoài ra, động lực cung-cầu cũng hỗ trợ sự tăng giá khi 7,002,686 CAKE tương đương với 32 triệu USD gần đây đã bị đốt, loại bỏ một số CAKE khỏi nguồn cung lưu hành.
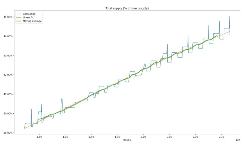
Trên đây là một tweet đã nhấn mạnh cách đội ngũ của CAKE tiếp tục phát triển bằng cách xem xét tổng nguồn cung so với tổng số token bị đốt.
Với tổng nguồn cung CAKE lưu hành hiện bằng 44.08% so với nguồn cung tối đa, tỷ lệ lạm phát là 8.3 CAKE/khối, tweet tuyên bố rằng với tốc độ đốt token hiện tại, nguồn cung tối đa có thể đạt 50.4 triệu khối. Điều này đảm bảo sự phát triển vững chắc cho CAKE vì việc đốt đang hoạt động hiệu quả.
Tuy nhiên, nếu kịch bản tăng giá lên mốc 5 USD không thành công, CAKE có thể quay về mức hỗ trợ 4 USD hoặc thấp hơn.
Bạn nghĩ sao về thông tin trên? Chia sẻ ngay ý kiến trong nhóm Telegram của chúng tôi nhé.


